Exponential And Logarithmic Equations Worksheet

Exponential And Logarithmic Equations Worksheet. (1) log 5 25 = y (2) log 3 1 = y (3) log 16 4 = y (4) log 2 1 8 = y (5) log 5 1 = y (6) log 2 8 = y (7) log 7 1 7 = y (8) log 3 1 9 = y (9). Web learning objectives use like bases to solve exponential equations.

16 Algebra Solving Inequalities Worksheet Key /
16 Algebra Solving Inequalities Worksheet Key / from www.worksheeto.com

Web these algebra 2 exponential and logarithmic functions worksheets will give you logarithmic functions to graph. Web worksheet by kuta software llc solve each equation. Web learning objectives use like bases to solve exponential equations.

You May Choose To Graph An Equation Or Write An.


(1) log 5 25 = y (2) log 3 1 = y (3) log 16 4 = y (4) log 2 1 8 = y (5) log 5 1 = y (6) log 2 8 = y (7) log 7 1 7 = y (8) log 3 1 9 = y (9). Find the value of y. Set arguments of logs equal!

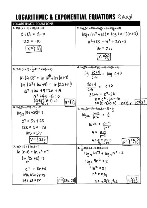
Web Solving Exponential And Logarithmic Equations (Chapter 5) 1.


Solve logarithmic equations by rewriting in exponential form or. Log 3) log rewrite each equation in. Use the definition of a logarithm to solve.

The B Is The Base For Log Form, While Y Is The Unknown Variable Of The Function.


Web solve exponential equations by rewriting with a common base, or rewriting in logarithmic form. Try it #1 solve 52x = 53x + 2. Take the log of both sides and “bring down the exponent” using the power property of.

Use Logarithms To Solve Exponential Equations.


Isolate the exponential expression on one side of the equation (if possible). The graph of an exponential functiong(x) =axis shown below. 9) log& 32 = 5 10) log' 256 = 4 11) log( 125 = 3 12) log* 2 =.

3 = A 1 2.


Web • to solve logarithmic equations involving both logarithmic terms and constants, rearrange logarithmic terms to one side of the equation and constants to the other side. Web worksheet by kuta software llc solve each equation. Web express each equation in exponential form.